
追求合作共贏
Win win for you and me售前售中售后完整的服務體系
誠信經營質量保障價格實惠服務完善1.熱式原理是什么原理?
要回答這個問題我們需要一些簡單的知識,來讓我們共同學習一下。
先來看熱式原理。如圖1所示,當我們夏天天熱的時候經常會吹風扇,我們會發現風扇有不同的擋位,沒有開風扇的時候最熱,隨著擋位和風力的增加我們會感覺身體內的熱量散發的越來越快,所以我們的體溫也逐漸降低下來,從而感受到了舒服的涼意。這種涼快的感覺與風力存在一定的關系,總的趨勢是風力越大越涼快,如果我們能將涼快的程度數字化,就可以用這個程度表示不同的風速,從而可以獲得對應的流量。其實這就是熱式流量計的基本原理,流體流過的流量與風扇的風速或是擋位對應,而我們的皮膚正好是非常靈敏的溫度傳感器,通過這些溫度傳感器和身體發熱量的平衡,我們就能獲得風速和對應的流量。

圖1 吹風扇的涼快程度與風力相關
熱式質量流量計又叫做TMF(Thermal Mass Flowmeter),如圖2所示是基于對流換熱原理設計的。其金屬探頭內有基于熱敏電阻的溫度傳感器,用于測量探頭的溫度。探頭內還有加熱器,用于加熱探頭使得探頭與流體產生溫差,溫差是對流換熱的基礎。

圖2 基于對流換熱的熱式流量計基本原理
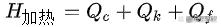
置于流體中的金屬探頭通過三種方式與外界進行換熱,分別是代表探頭與氣體的對流換熱量(一般為散熱),
代表探頭與導線和安裝結構的金屬導熱量(一般為散熱),
代表探頭對外界空間的輻射換熱量(一般為散熱)。這三種換熱方式在熱平衡時可以與加熱量,形成能量平衡,所以有如下等式:
![]()
(公式1)
其中
指探頭金屬上的加熱功率,很顯然如果加熱量大于散熱量,金屬探頭的溫度就會上升,反之如果加熱量小于散熱量,金屬探頭的溫度就會下降。如果恰好相等則金屬探頭的溫度不變。金屬探頭的溫度由內置的熱敏電阻溫度傳感器測到。
2.熱式原理氣體質量流量計涉及的主要數學物理知識是什么?
接下來我們進一步分析一下三種散熱的基本機理,以及與流量測量的關系。對于
(探頭與被測氣體的對流換熱量)是我們需要的,我們希望它占總換熱量的比例越高越好,如果能無限接近于100%是好的,這也是工程設計上不斷追求的,當然越是接近難度越大。
對于
(金屬探頭的安裝結構和導線導致的導熱)代表的導熱是熱式氣體質量流量計的主要誤差來源。導熱散熱占比越大,引入的誤差就越大。因為導熱量在不同的工況下無法得到準確值,所以在修正過程中無法全消除。為較小導熱帶來的誤差,辦法是盡量減小導熱在總換熱量的比例,工程上這是一個不斷趨近于0的過程。同樣的越是接近越難達到。
對于
(探頭對外界空間的輻射換熱量)代表空間輻射,它向四面八方進行,所以對于流量測量也屬于誤差來源,需要盡量消除。值得慶幸的是,由于發熱塊的溫度對于輻射來說還不算太高,所以在誤差分析中,它比導熱帶來的誤差要小,一般在工程上可以忽略。
通過上述分析可以看到,影響熱式質量流量計精度的主要因素是對流換熱量 ,誤差項是 。實際情況是,就算沒有導熱損失,同樣無法得到絕對精確的流量。為什么呢?
因為目前的科學技術還不夠發達,對流體換熱的理論研究還不完整,無法進行準確的計算,幾乎所有的數學公式都是半經驗性的,想知道原因我們接著往下看。
根據牛頓冷卻公式,我們可以把對流換熱量表述為如下公式:
![]()
(公式2)
其中
是對流換熱量
是對流換熱系數,
是氣體來流與金屬探頭的溫差或平均溫差。假設沒有導熱損失,又把輻射損失忽略掉,那么公式1中就削去了兩項,再將公式2帶入公式1.那么可以得到如下公式:
![]()
(公式3)
對于電阻加熱的加熱金屬探頭的加熱功率有如下關系式:
![]()
(公式4)
那么將公式4帶入公式3會得到公式5.如下:
![]()
(公式5)
其中是電流可以測量, 是電阻也可以測量,
是金屬探頭的換熱面積可以確定,
是溫差可以通過溫度傳感器測量。那么如果氣體流量與對流換熱系數有一固定的準確對應關系,并且能被我們清楚的知道,那么熱式流量計就成功了。
是否真有這樣的一個關系呢?
為了繼續探究真理,不被各位看官恥笑為路邊攤的偽科普,在這里我們必須進一步深入的研究。后邊的內容需要一些專業知識,我盡量講得通俗易懂一些了。
根據傳熱學的基本原理有如下公式:
努塞爾數(Nusselt) ![]()
(公式6)
普朗特數(Prandt)
(公式7)
雷諾數(Reynolds) ![]()
(公式8)

圖3 托馬斯流量計的基本原理圖

圖4 FCI熱式流量開關
以上三個為無量綱參數,適用于計算傳熱系數的中間變量。其中
為被測氣體的熱導率;
為氣體的定壓比熱容; 為氣體的動力粘度; 為氣體密度; 為氣體流速;
為金屬探頭直徑。它們三個無量綱參數之間有如下關系:
![]()
(公式9)
將公式6改換一種形式可以寫為:
![]()
(公式10)
將公式10帶入公式5可以得到理想熱平衡情況下加熱量與對流換熱量的關系式:
![]()
(公式11)
將
定義為流體溫度,
定義為金屬探頭外壁面溫度,則上式可以改寫為:
![]()
(公式12)
將公式9帶入公式12.可以得到如下關系式:
![]()
(公式13)
公式13中
這個函數關系式是經驗性的,不同的金屬探頭形狀,不同的流場,不同的氣體工質都會導致這個函數關系式的變化,所以這個函數并不是固定的。同時 、這些參數都與壓力、溫度和工作介質有關。所以傳熱學的公式就是半經驗式的,需要大量的實驗數據使得公式封閉,這個工作量非常大,以至于要么犧牲性能要么犧牲精度和適用范圍。
國外從1903年開始研制熱式流量計(托馬斯熱線式流量計),到1964年FCI(FLUID COMPONENTS INTL)研制出第一臺熱式質量流量開關(一種精度不高的流量計)已經花費了半個多世紀。
上個世紀50年代到60年代,美國和蘇聯進行太空爭霸,需要用于衛星的研制等離子體動機,發動機地面測試需要高精度的微流量計,美國NASA(美國國家航空航天局)的科學家研制了毛細管式熱式質量流量計(如圖5),毛細管式熱式質量流量計適用于高精度小微流量測量,也是目前半導體、新材料、航空航天等領域的主流應用產品。
Vanputten在1974年利用利用硅技術制作出流量傳感器,之后國外一些研究機構開始致力于集成熱式氣體流量傳感器的研究(原理如圖7所示)。進入上世紀90年代,由于基于半導體工藝的微加工工藝和微電子技術逐步成熟,微型流量傳感器逐漸發展起來,主要應用于汽車發動機進氣測量等對價格尺寸比較敏感的行業(如圖8所示)。
在過去的時間里,國外企業和研究機構積累了大量的數據,這些數據構成了熱式流量計的精度保證基礎。由于進一步顯著提高熱式質量流量計性能需要巨量的數據,所以現有熱式流量計已經逼近了工程極限。
為什么這么說吶?我們接著往下講。
3.什么是熱式原理氣體質量流量計的數據量陷阱?
我們首先介紹一個比較經典的基于努塞爾數(Nusselt)的經驗公式,克拉曼斯在1946通過大量的實驗,將實驗數據擬合后獲得了在一個小范圍內使用的換熱經驗公式,如下所示:
![]()
(公式14)
將公式14帶入公式13可得如下公式:
![]()
(公式15)
公式15叫做半經驗公式是因為上式中的系數(0.42、0.2、0.57、0.33、0.5)是實驗擬合出來的而不是通過理論推導出來的。那么它的試用范圍就必然有限,這就是我上文中提到的,要么縮小適用范圍,要么降低精度。由于流量計本身需要較高的精度,所以上式的試用范圍就很窄,可以說并不適用于熱式流量計的流量計算,只具有指導意義。那么為了獲得較高的精度,必須通過大量的實驗,從而獲得特定條件下適用滿足精度要求的流量計。如果要擴大適用范圍必須成倍甚至成數量級的增加實驗數量。
下面我們看看哪些因素會對流量精度產生影響。它們分別是1不同流量(或流速)、2不同來流溫度、3不同來流壓力、4不同探頭溫差、5不同環境溫度,6不同管徑,7不同探頭形狀、8不同探頭材質、9不同氣體工質,10不同探頭安裝結構等等。
如果需要繼續提高精度,很多本來比較次要的因素就不得不考慮,從而使得需要測試的項目急劇增加?,F在我們先忽略掉次要因素,看看就這10條主要因素。假設我們把每一個因素看作一個變量,每個變量變化測試10次(已經非常少了),那么使用物理實驗最基本的單變量測試法,為了遍歷整個測試域,我們需要100億次實驗。就算是我們采取仿制的方法(流量計的物理結構不變,這只是假設,這往往涉及侵權),去掉后邊的四個因素,那么我們要遍歷這個縮小的測試域,也需要至少100萬次的實驗。而且前提條件是每個測試變量只做10個變化,而這樣的變化是顯然無法達到我們所希望的1%測量精度的。如果只將每個變量的測試變化提高到20次,那么就算是縮小版的測試域,遍歷之后測試的總實驗次數也需大幅提高到六千四百萬次。
所以說,熱式流量計的精度建立在大量的實驗數據之上,特別是可靠的實驗數據和工程實踐使用數據之上,這就是熱式原理氣體質量流量計的“數據量陷阱”。需要強調的是,如果想大幅提高熱式流量計的性能,必然涉及改進探頭的設計結構,材質,溫度等等因素,那么所有的實驗數據都必須重新進行實驗,從而更新數據庫。也就是說熱式流量計的物理結構與數據庫是一一匹配的。這也是為什么熱式流量計的升級換代非常緩慢,往往需要十年以上的原因。
通過分析我們不難看出為什么國外熱式流量計的研發歷程和較大進步動則需要半個世紀,這是客觀基礎研究水平制約的,沒有基礎原理性的突破,這種現狀無法得到根本改變。從原理分析繼續提高熱式質量流量計的性能和精度已經非常困難,幾乎是時間和經費開支所不允許的。國內想在這個領域取得全面的突破,在沒有數據庫的情況下,需要大量的投資和長時間的數據積累,保守估計這個實驗數據庫的測試次數在10億次這個量級。
4.如何從分子運動的角度看傳熱的本質?
熱式流量計的核心是傳熱,傳熱就現有理論來講本質是貼近固體壁面的一個薄層內氣體分子碰撞固體壁面的吸熱(實質是分子統計意義上平均動能的增加,這是氣體導熱的過程),薄層內的溫度梯度很大,我們通常把這一氣體分子薄層叫做溫度邊界層。這一薄層的氣體分子再把熱量通過分子碰撞轉移到主流區的過程則稱為所謂的“傳質”過程(速度邊界層的梯度越大,熱邊界層的薄層越薄,對流換熱速度越快)。溫度邊界層的厚度與溫度分布受到流動邊界層(一個從壁面到主流區流速劇烈變化的薄層)的密切影響。
總的來說流動速度越快,流動邊界層速度梯度越大,溫度邊界層越薄,傳熱越劇烈,這就是我們常常感受到的“風速越快越涼快”的原因。這是整個熱式流量計對流換熱的核心,由于涉及到的知識太過于深奧,在這里不再展開。
5.什么是阻礙熱式原理氣體質量流量計響應速度提升的本質障礙?
熱式質量流量計的原理是通過溫度和傳熱量來計算流體的質量流量。其中溫度探頭的溫度測量是核心關鍵參數。我們知道理論上溫度探頭測試到的溫度,應該與來流工況實時匹配,但是實際情況卻往往不是這樣。其主要原因是溫度探頭擁有質量,所以有熱容,整個探頭的能量平衡實際上遵循這樣一個規律,溫度探頭獲得的能量變化量,等于對流換熱量與加熱量之差。
即可以用下式來表示:
![]()
(公式16)
其中
是指探頭溫度的能量變化量,它直接導致了探頭溫度的變化,可以用下式表示:
![]()
(公式17)
其中
是指探頭材料的比熱容,
代表探頭的質量,
代表探頭溫度的改變量。我們前邊說到,只有當溫度探頭熱平衡時測量的溫度才能用于準確的流量計算。也就是說當
等于
時,這個時候探頭的溫度不變。在這種熱平衡狀況下,溫度探頭測量的溫度才是流量計算所需要的有效溫度。
所謂的熱式氣體質量流量計的響應速度就是指從流量變化,到溫度探頭測量溫度的變化量趨于0的時間間隔。從公式16和公式17我們可以看到,假設加熱量和對流換熱因為各種限制(例如,材質和結構強度要求)條件無法大幅變化,材料的比熱容也相差不大的情況下。改變探頭的尺寸能大幅的減少探頭質量,顯著提高溫度探頭的響應速度,從而大幅提高熱式質量流量計的響應速度。需要注意的是,這里的溫度探頭質量,不只是溫度傳感器的質量,也包括與溫度傳感器密切接觸的安裝結構或者封裝結構的質量。

圖5 毛細管式熱式質量流量計原理圖

圖6 毛細管式熱式質量流量計



圖8 利用硅基熱式傳感器芯片制作的熱式傳感器
最近一百年里,為了將熱式溫度探頭的質量縮小已經做了大量的工作。從最開始的熱絲,發展到毛細管,最后是半導體的納米結構,可以說幾乎達到了技術。目前熱絲因其強度太低,容易損壞,同時易受污染,所以除少數科學實驗外已很少使用;毛細管目前是氣體熱式質量流量計的主流做法,特別對于小微氣體流量測量是精度、重復性、響應速度最佳的一種。目前毛細管的尺寸已經小于1毫米,而加熱絲(一般為鉑金絲)直徑已經小于0.2毫米,由于結構與強度的穩定性要求,這個尺寸已趨于極限,最近10年來已沒有顯著進展。